Tel:02759-5529 | Mobile:09-2289-4655,08-6539-9293 | tnsc2011@hotmail.com

TANASUB CRANE & SERVICE CO.,LTD.

TEL: 08-6539-9293,09-2289-4655

  • slide2
  • slide3
  • slide4
  • slide6
  • slide7
  • head7

Hand Chain Hoist

M series

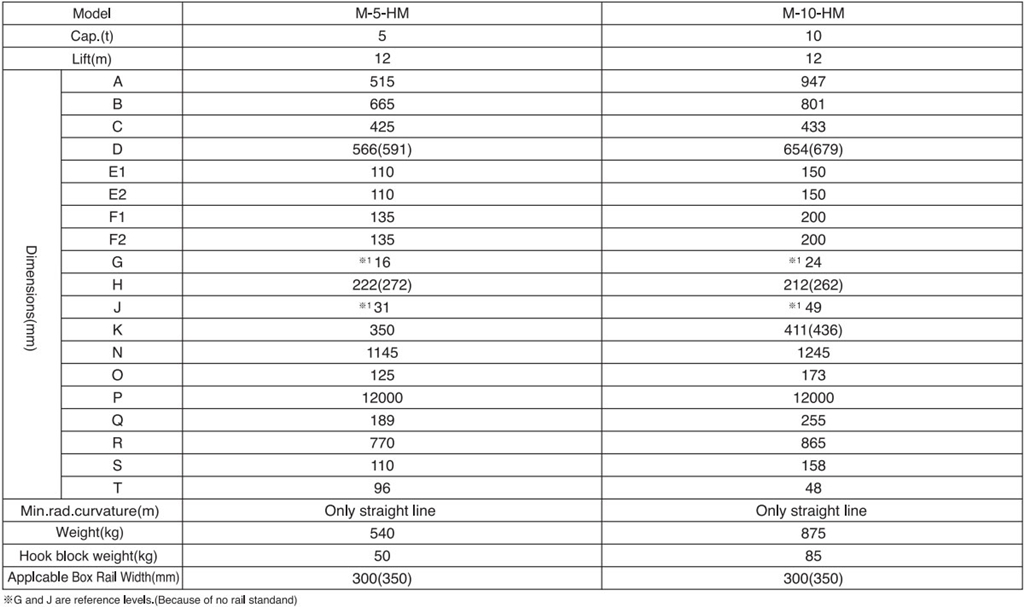
Monorail Type (M) 5t ,10t

M monorail 5t M monorail 10t
M monorail 5 10t spec